Le degré d'un graphe est :
Le produit des degrés de tous ses sommets.
Le degré minimal de tous ses sommets.
Le degré maximum de tous ses sommets.
La somme des degrés de tous ses sommets.
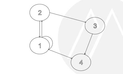
Considérons le graphe suivant :
Déterminer le degré.
2.
1.
3.
4.
Un graphe connexe est :
Est un graphe régulier dans lequel deux sommets opposés peuvent être reliés par une chaîne ou un chemin.
Est un graphe dans lequel deux sommets quelconques peuvent être reliés par une chaîne.
Est un graphe dans lequel deux sommets quelconques peuvent être reliés par une chaîne ou un chemin.
Est un graphe dans lequel deux sommets quelconques peuvent être reliés par un chemin.
Un graphe est dit régulier si :
Tous ses sommets ont le même ordre.
Tous ses sommets ont le même degré.
Il ne contient aucune boucle.
Tous ses arêtes ont le même poids.
Un graphe simple est :
Un graphe régulier.
Un graphe ayant plusieurs boucle dans plus d'une arête reliant deux sommets.
Un graphe n'ayant pas de boucle dans plus d'une arête reliant deux sommets.
Un graphe n'ayant pas de boucle dans plus de deux arêtes.