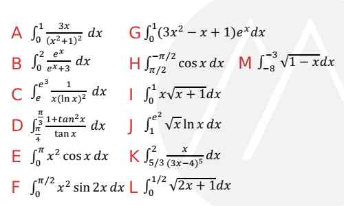
Calculer les intégrales suivantes : J.
(8e3 + 4) /9.
(8e3 − 4) /9.
(−8e3 + 4) /9.
Calculer les intégrales suivantes : B.
ln(e2 + 3)/2.
ln(e2 - 3)/4.
−ln(e2 + 3)/4.
ln(e2 + 3)/4.
On considère les deux intégrales :
Calculer A + B.
0.
1.
2.
-1.
Calculer les intégrales suivantes : L.
(2√1 − 1) /3.
(2√1 + 1) /3.
Calculer les intégrales suivantes : K.
215/1728.
4/9.