0.000 s

Revise smart, understand Better

5/20 MCQs for:
Matrix

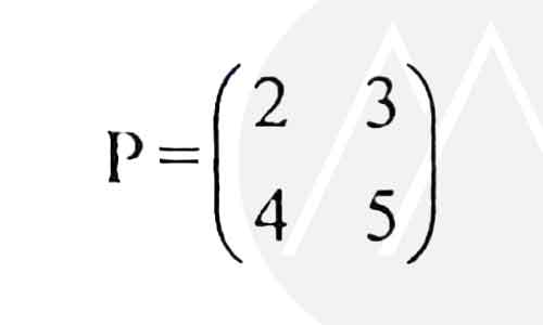
Given the matrix P, what is PT?

Given the matrices P and Q.

Find P + Q.

Evaluate the matrices:

Given the matrices P and Q.

Find Q - P.

The matrix M is of order 4 x 2n - 1 and matrix N is of order 5 x 3.

The value of n for which the produce MN is possible is: