Simplifying 2/7 + 2/5 gives:
24/35.
4/35.
4/12.
12/35.
When 1/2 of 6 - (3/2 × 4) is evaluated, the result is:
6.
3.
-3.
0.
The value of 8 in 24.86 is:
8/10.
8.
8/100.
9/10.
Given that -5 < 2, the symbol ' < ' means:
Greater than or equal to.
Less than.
Less than or equal to.
Greater than.
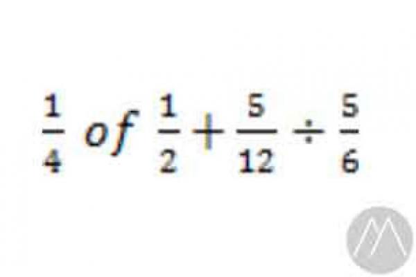
The expression evaluates to:
1/4.
11/40.
1/2.
5/8.