Which of the following has units kg m² s⁻²?
Pressure.
Power.
Momentum.
Energy.
Which of the following has the same units as the farad?
Ω⁻¹s.
Ωs⁻¹.
Ω s⁻².
Ωs.
The equation relating the pressure and volume of a gas with its thermodynamic temperature T is given by pV = KT, where k is a constant. What are the base units of K?
No units, because k is a constant.
kg m⁻² s⁻² K⁻¹.
kg m s⁻² K⁻¹.
kg m² s⁻² K⁻¹.
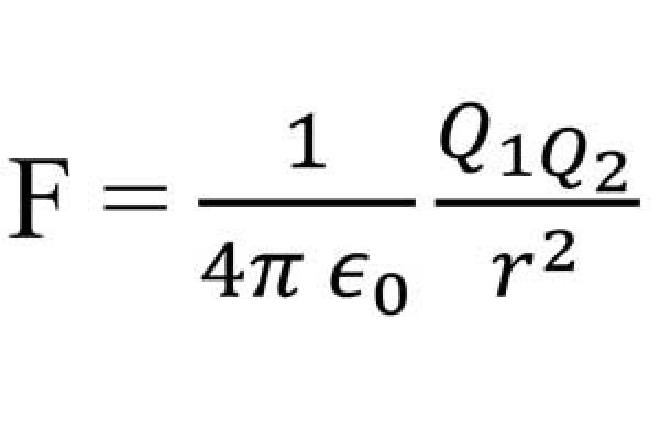
The force F between two charges Q1 and Q2 in free space is given by the formula below, where r is the distance between the charges. The units of E0 are
m³ s² kg⁻¹ C.
s⁴ A² kg⁻¹ m –3.
m³ s² A² kg⁻¹.
m² A² s⁻²kg⁻¹.
The magnitude of the force, F, between two masses m1 and m2 separated by a distance r is given by the expression.
F=(Gm1 m2)/r2 The base units for G are
kg⁻¹ ms⁻².
kg³ m³ s⁻².
kg⁻¹ m³ s⁻².
kgm³ s⁻².